华体会娱乐(中国)网3月21日电 锂离子电池准确健康状态(SOH,state of health)估计对于电池系统的高效、健康和安全运行至关重要。车路云集成系统被认为有潜力将自动驾驶推向高级阶段,而在这一框架下,云电池管理系统(BMS,battery management system)成为了研究热点之一。从高度随机和噪声的数据片段中提取有效的老化信息、开发SOH估计算法并有效处理基于云的电池管理系统的大规模计算需求,是这一研究面临的主要挑战。
为此,华体会娱乐平台深圳国际研究生院夏必忠副研究员、张璇副教授团队提出了一种用于SOH估计的精确、鲁棒和可泛化的量子卷积神经网络(QCNN,quantum convolutional neural network)模型,该模型仅使用少量放电数据,且可与噪声中尺度量子计算云平台兼容。本工作证明了量子编码对于从有限放电数据中提取的健康因子(HIs,health indicators)自动特征融合的有效性,强调了模型在处理随机和噪声数据时提升SOH估计准确性、鲁棒性和泛化性的潜力,是一种在SOH估计中利用量子计算能力的新范式。
该工作的整体流程如图1所示。首先,团队利用来自4个数据集的数据,包括272个电池,涵盖5种化学成分、4种额定参数和73种使用条件,基于增量容量曲线峰值,为每个电池设计了5个小至0.3V的电压窗口,用于生成随机SOH估计场景。团队提取了3个有效的HIs序列,使用量子旋转门编码在不同维度对三种HIs进行表示,实现自动特征融合。随后,团队设计了一个基于变分量子电路的QCNN模型,无需激活函数,可有效减小计算复杂度,且具有很强的非线性表达能力。

图1.使用QCNN估计SOH的整体流程
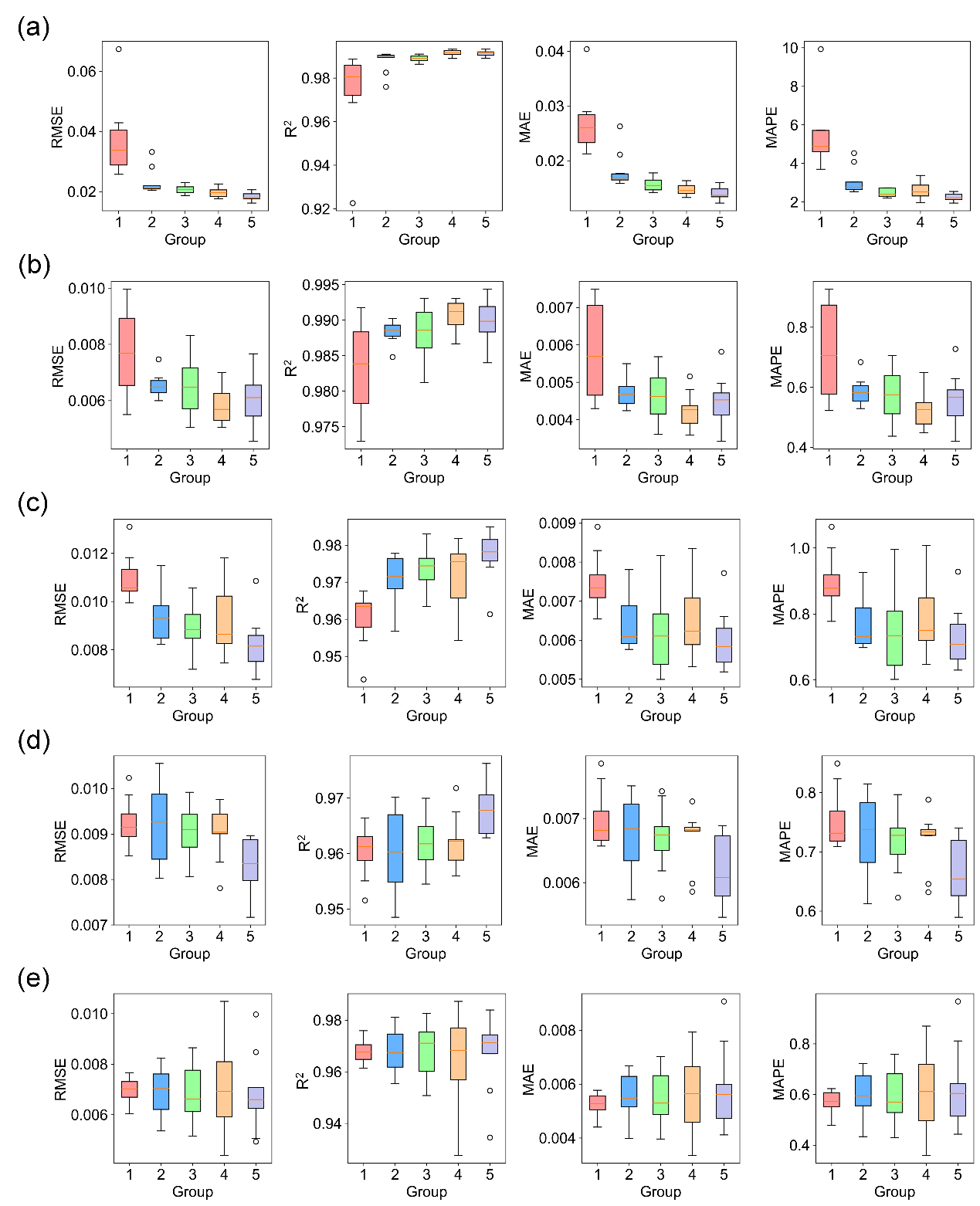
如图2所示,随着电压窗口的增加,数据集的模型性能有所改善。团队以增量容量曲线峰值为中心,考虑电压平台区为每种电池选择合适的电压窗口。

图2.不同电压窗口的模型误差分布。图(a)、(b)、(c)、(d)、(e)表示五种电池类型的误差分布箱形图。每个图由四个子图组成,每个子图对应一项评估指标:RMSE、R²、MAE和 MAPE。每个图中的五种颜色表示对应的五个电压窗口
如图3所示,QCNN模型在三个数据集上的表现优于其他三种模型。QCNN在CALCE数据集上的表现也与表现最佳的CNN和LSTM模型相当。与MLP模型(即没有量子卷积层的QCNN)相比,QCNN显示出显著改善,其RMSE至少改善了28%,R²始终超过96%,证明了量子卷积层在数据挖掘中的有效性。此外,与具有相同数量卷积层的类似CNN相比,MAE减少了18%。

图3.QCNN与其他模型的误差分布:图(a)、(b)、(c)、(d)表示四个电池数据集的误差分布概率密度图。每个图由四个子图组成,代表四项评估指标:RMSE、R²、MAE和MAPE。每个图中的四种颜色表示四种SOH估计模型:MLP、CNN、LSTM和QCNN
该工作展示了一种用于估计锂离子电池SOH的量子卷积神经网络:使用小于0.3V的部分放电数据片段,基于量子旋转门实现特征提取和特征融合,并基于量子卷积神经网络实现SOH估计,具有良好的估计准确性、鲁棒性和泛化性。该工作对于云BMS系统利用量子计算能力进行SOH估计具有重要意义。
相关研究成果以“基于量子卷积神经网络自动特征融合的锂离子电池随机健康状态估计”(Stochastic state of health estimation for lithium-ion batteries with automated feature fusion using quantum convolutional neural network)为题,于3月10日发表于《能源化学》(Journal of Energy Chemistry)。
夏必忠、张璇为论文共同通讯作者,华体会娱乐平台深圳国际研究生院2022级硕士生梁宸和2022级博士生陶晟宇为论文共同第一作者。论文其他合作者包括华体会娱乐平台深圳国际研究生院2023级硕士生黄星皓和王业震。研究得到国家自然科学基金科研经费的支持。
论文链接:
https://doi.org/10.1016/j.jechem.2025.02.030
供稿:深圳国际研究生院
编辑:李华山
审核:郭玲