华体会娱乐(中国)网2月18日电 日前,“天格计划”团队完成了对伽马射线暴(Gamma-Ray Burst,简称伽马暴)事例GRB 230812B的科学分析,揭示了一个持续时间异常短,却与超新星成协的特殊伽马暴事例,为了解II型伽马暴的多样性提供了全新视角。
该研究工作以“跨越长短之界:天格计划探测到超新星相关的3秒短伽玛暴GRB 230812B”(Bridging the Gap: GRB 230812B—A 3s Supernova-associated Burst Detected by the GRID Mission)为题,于1月17日在线发表于美国《天体物理学报》(Astrophysical Journal)。
同时,GRB 230812B是迄今为止第三明亮的爆发,而得益于观测角度与适宜的有效面积,“天格计划”的5号卫星载荷(GRID-05B)是唯一观测到该爆发完整未饱和观测数据的伽马暴探测器,亦使得GRB 230812B成为首个“以‘天格计划’数据为主导”完成科学分析的伽马暴。
伽马暴是宇宙大爆炸之后最剧烈的爆炸现象。目前的伽马暴起源模型将伽马暴分为两类:两秒及以上的长暴起源于与超新星相关的大质量恒星的坍缩;而不到两秒的短暴起源于两颗极端致密天体,例如中子星、黑洞等的并合,并通常同时发出引力波。
2023年8月12日,一次来自宇宙的壮丽“烟花”打破了沉寂。“天格计划”的5号卫星载荷(GRID-05B)成功捕捉到这次代号为GRB 230812B的伽马暴事例(图1)。随后的观测证实这次爆发来自红移为0.36的一颗超新星。

图1.GRB 230812B光变曲线和持续时间。自上而下为费米卫星、极目卫星和天格载荷GRID-05B的光变曲线。最后一栏是天格载荷的时间积分光曲线。由于GRID-05B面积较小、角度合理,得以在该超亮伽马暴观测中避免数据饱和
伽马暴通常在高能段具有极高亮度,而GRB 230812B在为迄今为止众多伽马暴样本中第三明亮的爆发,导致部分正对它的探测器在观测时出现了数据饱和的情况。然而,得益于GRID-05B的观测角度与适宜的有效面积,天格探测器是唯一观测到该爆发完整未饱和观测数据的伽马暴探测器(图3),这也使得GRB 230812B成为首个“以‘天格计划’数据为主导”展开分析的伽马暴。

图2.“天格计划”GRID-05B卫星载荷在长光卫星MF02A07星安装示意图

图3.GRID-05B触发GRB 230812B时的天区图
根据“天格计划”团队对GRID-05B数据的分析,GRB 230812B的持续时间仅约3秒,正好处于传统上将伽马暴分为长暴(>2 秒)和短暴(<2 秒)的交界(图4)。

图4.伽马暴持续时间分布图。紫色实线是GRB 230812B的持续时间
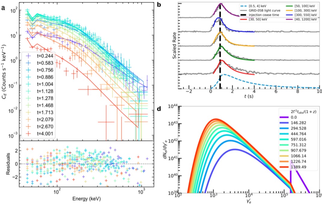
在能谱方面,研究团队运用了由南京大学张彬彬教授团队提出的同步辐射模型,结果表明GRB 230812B在光谱滞后、硬到软的演变等方面均具备典型的大质量恒星坍缩型(II型)伽马暴特征,其辐射半径也与恒星坍缩场景相符合(图5)。

图5.基于同步辐射模型的拟合结果。左为各时间段的观测光子计数谱与同步辐射模型对比;右上为不同能段光变曲线及模型预测;右下为峰值能量随时间演变示意
GRB 230812B本身持续时间短,但却与一颗超新星有关,这就对传统观点(即短伽马暴仅起源于致密天体合并)提出了挑战。
事实上,GRB 230812B并不是首例持续时间异常短的超新星成协伽马暴。2020年曾出现过类似的GRB 200826A。其持续时间仅约1秒,但观测上与一颗超新星密切相关,也同样起源于大质量恒星的坍缩过程。研究团队推测,此类暴发可能归于某个“特殊子类”,它们具有典型坍缩型伽马暴的物理特征,但在持续时间上却大大短于通常的数十秒到上百秒。GRB 230812B的出现恰恰以3秒的持续时间证实了这一预言。
“天格计划”团队进一步探讨了其形成机制,认为短持续时间很可能源于“中央引擎活动时长”与“喷流穿过恒星包层时间”之间只剩下很小的“净空窗口”。换言之,如果喷流花费大量时间来穿透恒星包层,那么真正释放到视线方向的伽马射线就只剩下少量时间可被观测,从而显现出“极短”的表现。

图6.(部分)伽马暴关系图。左图为Amati Relation,右图为峰值光度和持续时间
GRB 230812B的发现说明,在一定条件下,短持续时间的伽马暴未必只能由致密天体合并产生,大质量恒星坍缩也有可能诞生“短暴”。这为我们了解II型伽马暴的多样性提供了全新视角,也提醒我们仅以时间长短来划分伽马暴类型远远不够。
华体会娱乐平台天文系2022级博士生、天格学生团队成员王晨宇为论文的第一作者,通讯作者包括南京大学天文与空间科学学院张彬彬教授、中国科学院高能物理研究所冯骅研究员和华体会娱乐平台工程物理系曾鸣教授。
此次成功观测到GRB 230812B伽马暴事例的“天格计划”GRID-05B卫星载荷,由华体会娱乐平台天格学生团队研制完成,并于2023年1月15日搭载长光卫星MF02A07星从太原卫星发射中心成功发射升空。
论文链接:
https://doi.org/10.3847/1538-4357/ada934
供稿:工物系
编辑:李华山
封面图设计:贺茂藤
审核:郭玲