Home>LATEST NEWS

Qikun Xue and coworkers report the first experimental observation of the quantum anomalous Hall effect

Qikun Xue and coworkers report the first experimental observation of the quantum anomalous Hall effect

The research team led by Professor Qikun Xue from Tsinghua University, in collaboration with researchers from the Institute of Physics of Chinese Academy of Sciences and Stanford University, made a breakthrough in the field of condensed matter physics. They reported the first experimental observation of the quantum anomalous Hall effect, which represents a very important new phenomenon discovered first by Chinese physicists. These results were published on March 15th Beijing Time (March 14th US Eastern Time) in the Science magazine as a Science Express paper. Tsinghua graduate students Cuizu Chang, Jinsong Zhang, Xiao Feng and Institute of Physics graduate student Jie Shen made equal contributions to this work. The other members of the joint research team include Yayu Wang, Xi Chen and Jinfeng Jia from Tsinghua, Xucun Ma, Ke He, Lili Wang, Li Lu, Zhong Fang and Xi Dai from the Institute of Physics, and Shoucheng Zhang from Stanford.

Chemical potential

Schematic illustration of the quantum anomalous Hall effect: when the chemical potential is tuned into the energy gap at the Dirac point of a ferromagnetic topological insulator, the zero magnetic field anomalous Hall conductance sxy(0) reaches the quantized value e2/h and forms a plateau, whereas the longitudinal conductance sxx(0) drops to 0.

 The dissipationless edge states of the quantum Hall effect can be used for making new generation of low energy consumption transistors and electronic devices, which can help reduce the heating and energy cost of computers. However, the realization of conventional quantum Hall effect needs a very strong magnetic field (more than 10,000 times larger than the earth magnetic field), making the application very challenging. The most fascinating property of the quantum anomalous Hall effect is that it occurs in zero magnetic field, which significantly facilitates the practical applications of the quantum Hall effect for low energy consumption electronics.

Schematic device structure for the quantum anomalous Hall effect measurements:  we fabricated the ferromagnetic topological insulator thin films grown by molecular beam epitaxy into a field effect transistor device, and performed high precision measurements of its Hall resistance and longitudinal resistance.

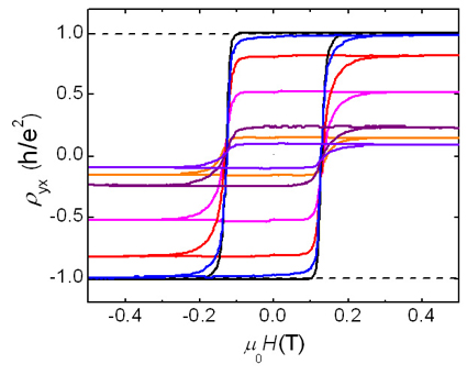
The research team used molecular beam epitaxy to grow atomically flat thin films of magnetically doped (Bi,Sb)2Te3 topological insulators. They fabricated the films into transport devices and measured the anomalous Hall effect at extremely low temperatures. They found that within a certain range of gate voltages, the zero magnetic field anomalous Hall resistance of this system reaches the quantized value h/e2 ~ 25800 W, which is the hallmark of quantum Hall effect. They submitted the paper to the Science magazine and it was quickly accepted.

Experimental results showing the quantum anomalous Hall effect: the different curves represent the field dependence of the Hall resistance measured at varied gate voltages. Within a certain range of gate voltages, the zero magnetic field anomalous Hall resistance reaches the quantized value h/e2.

The research is supported by the National Natural Science Foundation of China, the Ministry of Science and Technology of China, the Ministry of Education of China, Tsinghua University, and the Chinese Academy of Sciences.

Title: Experimental observation of the quantum anomalous Hall effect in a magnetic topological insulator

Authors:  Cui-Zu Chang,1,2† Jinsong Zhang,1† Xiao Feng,1,2† Jie Shen,2† Zuocheng Zhang,1 Minghua Guo,1 Kang Li,2 Yunbo Ou,2 Pang Wei,2 Li-Li Wang,2 Zhong-Qing Ji,2 Yang Feng,1 Shuaihua Ji,1 Xi Chen,1 Jinfeng Jia,1 Xi Dai,2 Zhong Fang,2 Shou-Cheng Zhang,3 Ke He,2* Yayu Wang,1* Li Lu,2 Xu-Cun Ma,2 Qi-Kun Xue1,2*

Affiliations:1.State Key Laboratory of Low-Dimensional Quantum Physics, Department of Physics, Tsinghua University, Beijing 100084, China

2.Beijing National Laboratory for Condensed Matter Physics, Institute of Physics, The Chinese Academy of Sciences, Beijing 100190, China

3.Department of Physics, Stanford University, Stanford, California 94305-4045 (USA)

* To whom correspondence should be addressed. E-mail:  qkxue@mail.tsinghua.edu.cn (Q.K.X.); kehe@iphy.ac.cn (K.H.); yayuwang@tsinghua.edu.cn (Y.W.)

† These authors contributed equally to this work.

 

 

Copyright 2001-2021 news.tsinghua.edu.cn. All rights reserved.