A team of physicists from Tsinghua University led by Prof. Luming Duan recently solved a quantum simulation of synthetic dimensions and artificial magnetic flux in a trapped-ion quantum simulator. The researchers synthesized two dimensions with the internal spin states and external motional states of a single trapped ion and realize the simulation of the anisotropic Harper-Hofstadter Hamiltonian in a two-leg ladder and controllable artificial magnetic flux. They observed the chiral motion of the topological edge mode and quantum phase transition in this model. This work showcases the capability of the trapped-ion system in simulating topological quantum matter. This work was published as ‘Realizing Synthetic Dimensions and Artificial Magnetic Flux in a Trapped-Ion Quantum Simulator’ in the journal Physics Review Letter.
Synthetic dimension is an important method in the quantum simulation of topological quantum matter. It is often used to study the physical properties of high-dimensional materials and to achieve controllable artificial magnetic fields that are hard to directly realize in the laboratory. Previous works realized synthetic dimensions using internal states of atoms and discrete modes of frequency, momentum, and angular momentum states in neural atoms and photonic systems. This work shows the first realization of synthetic dimensions using the Fock states of the trapped ion’s motional mode, which expands the implementation methods of synthetic dimensions and its applications in trapped-ion systems.

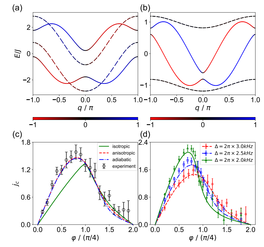
To realize the synthetic dimensions, researchers design a scheme to use multi-frequency laser fields to couple the internal energy levels and the external motional modes of a trapped ion. These two degrees of freedom are then mapped to a two-leg ladder lattice with tunable coupling phases between the lattice sites, which corresponds to an adjustable artificial magnetic flux. With this scheme, researchers first verify the successful simulation of the anisotropic Haper-Hofstadter Hamiltonian under different experiment parameters and then demonstrate the chiral motion of the topological edge mode in this model. Furthermore, the researchers design a quasi-adiabatic evolution path for preparing the ground states of this model and measure its chiral current, which reveals a quantum phase transition under the change of the artificial magnetic flux. This work is promising in scaling to higher dimensions and expanding the application of the trapped-ion system in the quantum simulation of topological quantum matter. Besides, this work associates the quantum phase transitions in the Harper-Hostadter model and the spin-boson models, deepening the understanding of their physical mechanisms.

The corresponding author of the paper is Professor Luming Duan, and the co-first authors are IIIS PhD student Ye Wang and IIIS Assistant Professor Yukai Wu. Other co-authors include IIIS post-doctor Yue Jiang, HYQ Researchers Minglei Cai, Bowen Li, Quanxin Mei and IIIS Assistant Research Fellow Binxiang Qi, IIIS Associate Research Fellow Zichao Zhou. This work was supported by Innovation Program for Quantum Science and Technology (2021ZD0301601), Tsinghua University Initiative Scientific Research Program, the Ministry of Education of China, the New Cornerstone Science Foundation through the New Cornerstone Investigator Program and the National Key Research and Development Program of China (2020YFA0309500), Tsinghua
University Dushi program and a start-up fund.
The full paper is available at:
https://link.aps.org/doi/10.1103/PhysRevLett.132.130601
Editor: Li Han