Recently, a research group led by Prof. Yong-Chun Liu from the Department of Physics, Tsinghua University, has observed exceptional points in thermal atomic ensembles, and realized the sensitivity enhancement of atomic magnetometer. The work was published in Physical Review Letters under the title of “Observation of Exceptional Points in Thermal Atomic Ensembles”, and was selected as “Editors' Suggestion” and “Featured in Physics”.
Exceptional points (EPs), which is also called non-Hermitian degeneracies, are quite different from the Hermitian degeneracies, and have recently attracted wide interests in theory and spawned intriguing prospects for enhanced sensing. An EP occurs when two or more eigenvalues and the corresponding eigenstates coalesce, simultaneously, which is impossible for Hermitian Hamiltonians. In the vicinity of EPs, complex energies of a non-Hermitian system can lead to novel phenomenon which cannot appear in their Hermitian counterparts. For example, when two degenerate eigenmodes are lifted by a perturbation, the eigenfrequency splitting satisfies a square-root law, which is very different from Hermitian cases where signals scale linearly with the perturbation strength. Obviously, this sublinear response signifies an enhanced measurement sensitivity in the small perturbation limit, which can be used to design EP-enhanced sensors.

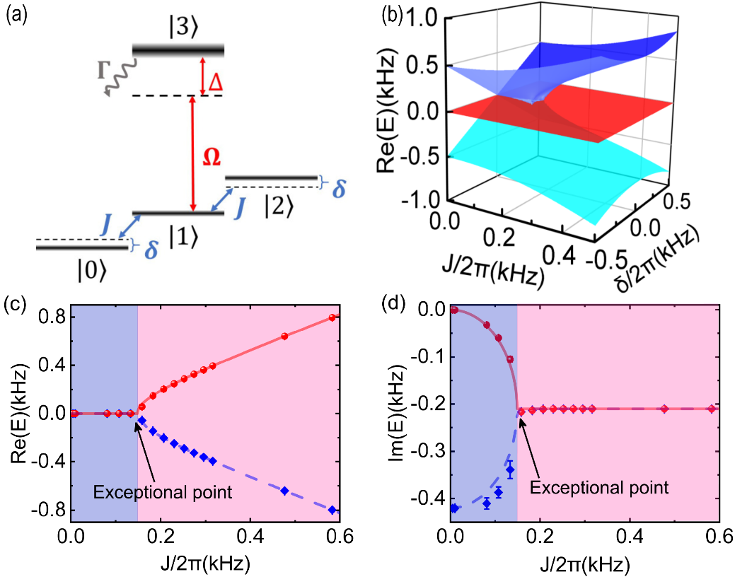
Fig 1 (a) Atomic energy level diagrams. (b) The real parts of the three eigenvalues of non-Hermitian Hamiltonian as a function of δ and J. (c-d) Experimentally obtained real (c) and imaginary (d) parts of the system eigenvalues as a function of rf Rabi frequency J. The red dots and blue squares are obtained from the experimental result. The red and blue curves are obtained from the theoretical model.
The research team led by Prof. Yong-Chun Liu proposed that the atomic-rich energy level structure can be utilized, as shown in Fig. 1 (a), and dissipation can be constructed for the selected ground state by coupling the excited state with the laser (red arrow). Therefore, the three ground states have different dissipation, and then the three ground states can be coupled by the radio frequency (rf) field (blue arrow) to form non-Hermitian Hamiltonian. The eigenvalues and eigenstates are degenerate under certain parameters, and the real parts of the three eigenvalues as a function of δ and J are shown in Fig. 1(b). Experimentally, they also measured the real part (Fig 1 (c)) and the imaginary part (Fig 1 (d)) of the eigenvalues and observed the EPs of the system.

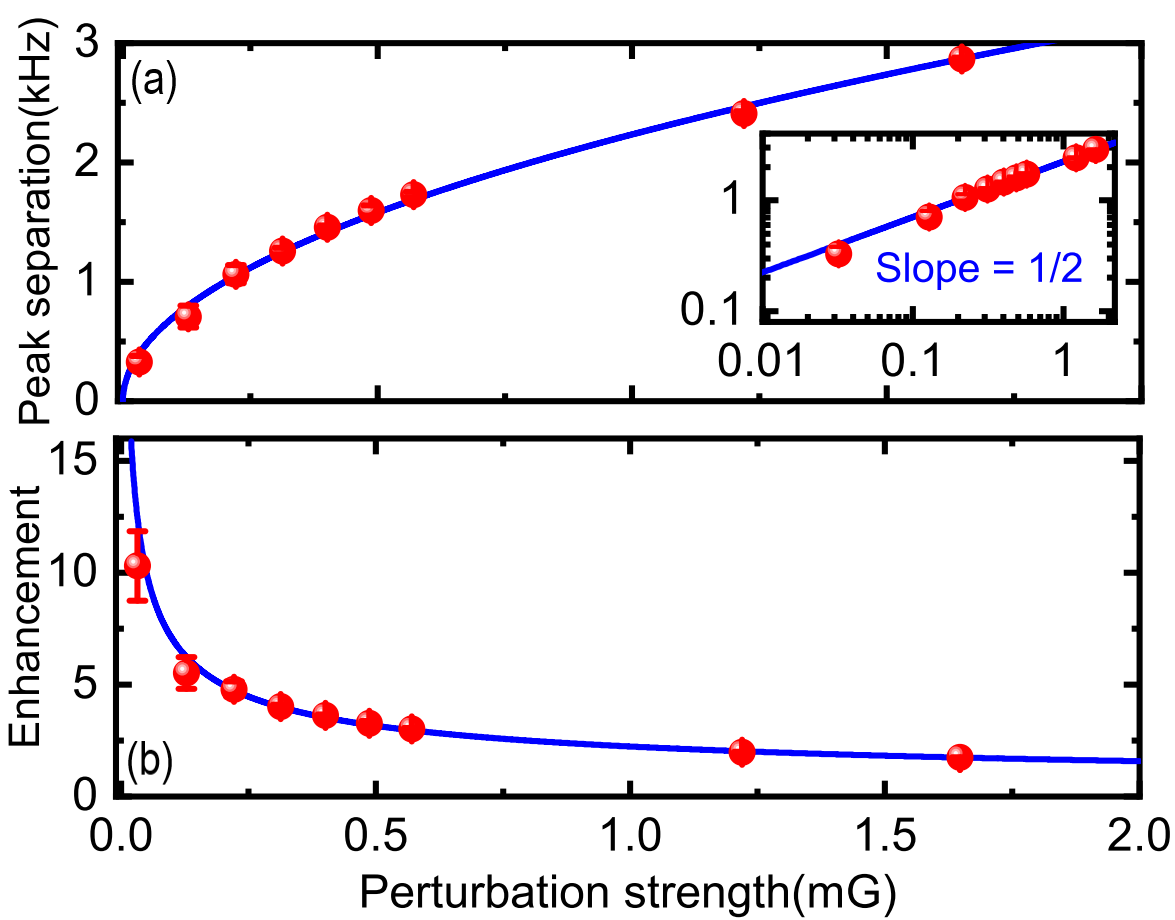
Fig 2 (a) The observed peak separation of OPR magnitude as a function of the perturbation strength. (b) Measured enhancement as a function of the perturbation.
Moreover, instead of measuring transmission spectrum in conventional studies, they propose a new protocol relied on the optical polarization rotation signal to detect the resonance peaks splitting, as shown in Fig.2(a), which can enhance the frequency splitting and is robustness to the noises. As shown in Fig.2(b), the sensitivity demonstrates an order enhancement in the proximity of the EP compared with the linear scaling away from EP, which is the same as the Hermitian case.
This work not only provides a new controllable platform for studying EPs and non-Hermitian physics, but also provides new ideas for the design of EP-enhanced sensors and opens up realistic opportunities for practical applications in the high-precision sensing of magnetic field and other physical quantities.
The first author of the paper is Ph.D. student Chao Liang, and the corresponding author is Associate Professor Yong-Chun Liu at Department of Physics.
Article link: https://journals.aps.org/prl/abstract/10.1103/PhysRevLett.130.263601
Editor: Li Han